码迷,mamicode.com
首页 > 编程语言 > 详细

Hulu机器学习问题与解答系列 | 十七:随机梯度下降算法之经典变种

时间:2018-02-27 21:29:51      阅读:675      评论:0      收藏:0      [点我收藏+]

标签:加速   taf   tps   问题   rds   就是   gpo   neu   研究   

这是本周第二篇机器学习,也是Hulu面试题系列的第十七篇了~ 之前的所有内容都可以在菜单栏的“机器学习”中找到,愿你温故,知新。

 

今天的内容是

【随机梯度下降算法之经典变种】

 

场景描述

提到Deep Learning中的优化方法,人们都会想到Stochastic Gradient Descent (SGD),但是SGD并不是理想的万金油,反而有时会成为一个坑。当你设计出一个deep neural network时,如果只知道用SGD来训练,不少情况下你得到一个很差的训练结果,于是你放弃继续在这个深度模型上投入精力。但可能的原因是,SGD在优化过程中失效了,导致你丧失了一次新发现的机会。

 

问题描述

Deep Learning中最常用的优化方法是SGD,但是SGD有时候会失效,无法给出满意的训练结果,这是为什么?为了改进SGD,研究者都做了哪些改动,提出了哪些SGD变种,它们各有哪些特点?

 

背景知识假设:Gradient Descent Method, 

Stochastic Gradient Descent Method

 

解答与分析

(1)SGD失效的原因——摸着石头下山

为了回答第一个问题,我们先做一个形象的比喻:想象一下你是一个下山的人,眼睛很好,能看清自己所在位置的坡度,那么沿着坡向下走,最终你会走到山底。现在你被蒙上双眼,只能凭脚底踩石头的感觉判断当前位置的坡度,精确性大大下降。有时候你认为的坡,实际上可能不是坡,走上一段时间发现没有下山,或者曲曲折折走了好多弯路才下山。

我们回到SGD,传统的Gradient Descent(也称Batch Gradient Descent)是带着眼睛下山,而SGD是蒙着眼睛下山。Gradient Descent的每一步,为了获取准确的梯度,把整个训练集载入模型中计算,时间花费和内存开销非常大,无法用于实际中大数据集和大模型的场景。SGD放弃了对梯度准确性的追求,每步仅仅随机采样少量样本来计算梯度,计算速度快,内存开销小,但是由于每步接受的信息量有限,对梯度的估计常常出现偏差,造成目标函数曲线收敛得很不稳定,伴有剧烈波动,甚至有时出现不收敛的情况。图1展示了GD与SGD在优化过程中的参数轨迹,可以看到GD稳定地逼近最低点,而SGD曲曲折折简直是“黄河十八弯”。

技术分享图片技术分享图片

图1 GD与SGD的参数优化轨迹

进一步地,有人会说deep learning优化问题本身就很难,有太多局部最优点的陷阱。没错,这个陷阱对SGD和GD都是普遍存在的。但对SGD来说,可怕的不是局部最优点,而是两类地形——山谷和鞍点[1]。山谷顾名思义就是狭长的山间小道,左右两边是峭壁;鞍点的形状像是一个马鞍,一个方向上两头翘,另一个方向上两头垂,而中心区域是一片近乎水平的平地。

为什么SGD最害怕遇上这两类地形呢?在山谷中,准确的梯度方向是沿山道向下,稍有偏离就会撞向山壁,而SGD粗糙的梯度估计使得它在两山壁间来回反弹震荡,不能沿山道方向迅速下降,导致收敛不稳定和收敛速度慢;在鞍点处,SGD走入一片平坦之地(此时离最低点还很远,故也称plateau),想象一下蒙着双眼只凭借脚底感觉坡度,如果坡度很明显那么不精确也能估计出下山的大致方向,但是如果坡度不明显那么很可能走错方向,同样在几近零的梯度区域,对梯度微小变化无法准确察觉的SGD蒙圈了,结果停滞下来。

 

(2)解决之道——惯性保持和环境感知

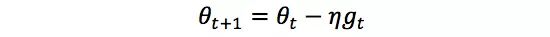
SGD本质上是采用迭代方式更新参数,每次迭代在当前位置的基础上,沿着某一方向迈一小步抵达下一位置,然后在下一位置接着这么做。SGD的更新公式是:

技术分享图片

其中当前估计的梯度﹣gt表示步子的方向,学习速率η控制步子的大小。改造SGD仍然基于这个更新形式。

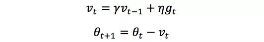
变种1:Momentum

为了解决SGD的山谷震荡和鞍点停滞的问题,我们做一个简单的思维实验。想象一下纸团在山谷和鞍点处的运动轨迹,在山谷中纸团受重力作用沿山道滚下,两边是不规则的山壁,纸团不可避免地撞在山壁,由于质量小受山壁弹力的干扰大,从一侧山壁反弹回来撞向另一侧山壁,结果来回震荡地滚下;当纸团来到鞍点的一片平坦之地时,还是由于质量小,速度很快减为零。纸团的情况和SGD遇到的问题简直如出一辙。直觉上,如果换成一个铁球,当沿山谷滚下时,会不容易受到途中旁力的干扰,轨迹更稳更直;当来到鞍点中心处,在惯性作用下继续前行,从而有机会冲出这片平坦的陷阱。因此,我们有了Momentum的方法[2],更新公式为

技术分享图片技术分享图片

前进步子﹣vt由两部分组成:(1) 学习速率η和当前估计梯度gt,(2) 衰减下的前一次步子vt-1。这里,惯性就体现在对前次步子信息的重利用上。拿中学物理作个类比,当前梯度就好比当前时刻受力产生的加速度,前一次步子好比前一时刻的速度,当前步子好比当前时刻的速度,为了计算当前时刻的速度,我们应当考虑前一时刻速度和当前加速度共同作用的结果,因此vt直接依赖于vt-1gt,而不是仅有gt。另外,衰减系数γ扮演了阻力的作用。

中学物理还告诉我们,刻画惯性的物理量是动量,这也是算法名字的由来。沿山谷滚下的铁球,会受到两个方向上的力:沿坡道向下的力和与左右山壁碰撞的弹力。向下的力稳定不变,产生的动量不断累积,速度越来越快;左右的弹力总是在不停切换,动量累积的结果是相互抵消,自然减弱了球的来回震荡。因此,与SGD相比,Momentum的收敛速度快,收敛曲线稳定。

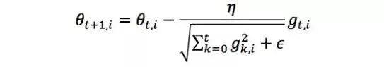
变种2:AdaGrad

惯性的获得是基于历史信息的。那么,除了从过去的步伐中获得一股子向前冲的劲儿,我们还能获得什么?我们期待获得对周围环境的感知,即使蒙上双眼,依靠前几次迈步的感觉,我们也应该能判断出一些信息,比如这个方向总是坑坑洼洼的,那个方向可能很平坦。

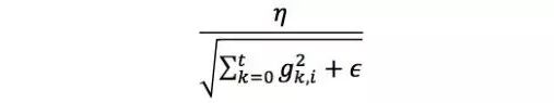
具体到SGD中,对环境的感知是指在参数空间中,对不同参数方向上的经验性判断,确定这个参数的自适应学习速率,即更新不同参数的步子大小应是不同的。在一些任务中,如文本处理中训练word embeddings参数,有的words频繁出现,有的则极少出现,数据的稀疏导致相应参数的梯度稀疏,即不频繁出现words的参数大多数情况梯度为零,使得这些参数被更新的频率很低,因此我们希望更新它们的步子大些,而对频繁更新的参数,更新的步子小些。AdaGrad[2]采用过往梯度平方和

技术分享图片

的方式来衡量不同参数的梯度稀疏性,和越小表明越稀疏。AdaGrad的更新公式是:

技术分享图片

其中θt+1,i表示θt+1的第i个参数。另外,分母中和的形式实现了退火的过程,这是很多优化技术中常见的策略,意味着随着时间推移,学习速率

技术分享图片

越来越小,从而保证了优化的最终收敛。

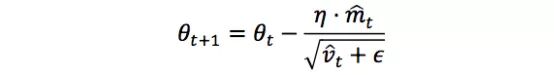
变种3:Adam

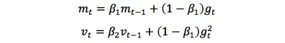
Adam方法[4]将惯性保持和环境感知这两个优点集于一身。一方面,Adam记录梯度的first moment,即过往梯度与当前梯度的平均,这体现了惯性保持;另一方面,Adam还记录梯度的second moment,即过往梯度平方与当前梯度平方的平均,这类似AdaGrad,体现了环境感知,为不同参数产生自适应的学习速率。First moment和second moment求平均的思想类似滑动窗口内求平均的做法,关注当前梯度和近一段时间内梯度的平均值,时间久远的梯度对当前平均的贡献呈指数衰减,具体采用指数衰退平均(exponential decay average)技术,计算公式为:

技术分享图片

其中β1β2为衰减系数。

如何理解first moment和second moment呢?First moment相当于估计技术分享图片,由于当下梯度gt是随机采样估计的结果,比起gt我们更关心它在统计意义上的期望;second moment相当于估计技术分享图片,这点与AdaGrad不同,不是技术分享图片从开始到现在的和而是它的期望。它们的物理意义是:当‖mt‖大vt大时,梯度大且稳定,表明遇到一个明显的大坡,前进方向明确;当‖mt‖趋零vt大时,梯度不稳定,可能遇到一个峡谷,容易引起反弹震荡;当‖mt‖大vt趋零时,这种情况不可能出现;当‖mt‖趋零vt趋零时,梯度趋零,可能到达局部最低点,也可能走到一片坡度极缓的平地,此时要避免陷入plateau。另外,Adam还考虑了mtvt在零初始值情况下的偏置矫正。Adam的更新公式为:

技术分享图片

 

扩展阅读

除了上述三种SGD变种,研究者还提出了其他方法:

1. Nesterov Accelerated Gradient:扩展了Momentum方法,顺着惯性方向,计算未来可能位置处的梯度而非当前位置的梯度,这个“提前量”的设计让算法有了对前方环境预判的能力。

2. AdaDelta和RMSProp:这两个方法非常类似,是对AdaGrad的改进。AdaGrad采用所有过往梯度平方和的平方根做分母,分母随时间单调递增,产生的自适应学习速率随时间衰减的速度过于激进,因此AdaDelta和RMSProp采用指数衰退平均的计算方法,用过往梯度的均值代替它们的和。

3. AdaMax:基于Adam的一个变种,对梯度平方的处理由指数衰退平均改为指数衰退求max。

4. Nadam:可看成Nesterov Accelerated Gradient版的Adam。

 

参考文献:

[1] Yann N. Dauphin, Razvan Pascanu, Caglar Gulcehre, Kyunghyun Cho, Surya Ganguli, and Yoshua Bengio. Identifying and attacking the saddle point problem in high-dimensional nonconvex optimization. arXiv, pages 1–14, 2014

[2] Ning Qian. On the momentum term in gradient descent learning algorithms. Neural networks: the official journal of the International Neural Network Society, 12(1):145–151, 1999

[3] John Duchi, Elad Hazan, and Yoram Singer. Adaptive Subgradient Methods for Online Learning and Stochastic Optimization. Journal of Machine Learning Research, 12:2121–2159, 2011

[4] Diederik P. Kingma and Jimmy Lei Ba. Adam: a Method for Stochastic Optimization. InternationalConference on Learning Representations, pages 1–13, 2015.

 


 

下一题预告

【SVM – 核函数与松弛变量】

 

场景描述

当我们在SVM中处理线性不可分的数据时,核函数可以对数据进行映射,从而使得原问题在某种度量下具有更为可分的相似度,而通过引入松弛变量,我们可以放弃一些离群点的精确分类来使分类平面不受太大的影响。将这两种技术与SVM结合起来,正是SVM分类器简洁而强大的原因之一。

 

问题描述

  1. 一个使用高斯核

    技术分享图片

    训练的SVM(Support Vector Machine)中,试证明若给定训练集中不存在两个点在同一位置,则存在一组参数{α1, ... αmb}以及参数γ使得该SVM的训练误差为0。

  2. 若我们使用问题1中得到的参数γ训练一个不加入松弛变量的SVM,是否能保证得到的SVM,仍有训练误差为0的结果,试说明你的观点。

  3. 若我们使用SMO(Sequential Minimal Optimization)算法来训练一个带有松弛变量的SVM,并且惩罚因子C为任意事先不知道的常数,我们是否仍能得到训练误差为0的结果,试说明你的观点。

 


Hulu机器学习问题与解答系列 | 十七:随机梯度下降算法之经典变种

标签:加速   taf   tps   问题   rds   就是   gpo   neu   研究   

原文地址:https://www.cnblogs.com/peizhe123/p/8480591.html

(0)
(0)
   
举报
评论 一句话评论(0
登录后才能评论!
© 2014 mamicode.com 版权所有  联系我们:gaon5@hotmail.com
迷上了代码!