码迷,mamicode.com
首页 > 编程语言 > 详细

java 多线程—线程怎么来的

时间:2018-06-17 21:49:14      阅读:182      评论:0      收藏:0      [点我收藏+]

标签:并发处理   操作系统。   建立   TE   str   同步问题   data-   撤销   xsl   

并发处理的广泛应用是使得amdah1定律代替摩尔定律成为计算机性能发展源动力的根本原因,是人类压榨计算机运算能力的最有力武器。

并发并非一定得用多线程,多进程也可以,不过java里面谈论并发,大多数与线程脱不开关系。

1.线程的实现

线程是比进程更轻量级的调度执行单位,在linux里面,线程和进程没有什么区别,唯一的就是在地址空间,线程的切换虚拟内存空间依然是相同的,但是进程切换是不同的。

目前主流的操作系统都提供的线程实现,java则提供的线程实现方法都是native的,因为不同的硬件和操作系统提供线程调度方式并不尽相同,所以java没用采用和平台无关的统一手段来实现。

实现线程的主要3种方式:使用内核线程实现,使用用户线程实现,使用用户线程加轻量级进程混合实现。

内核线程的实现

内核线程(KLT)就是直接由操作系统内核支持的线程,这种线程由内核来完成线程切换。

 

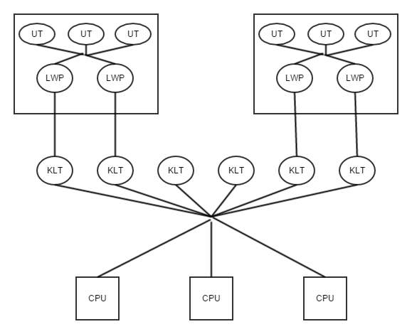
程序一般不会直接使用内核线程,而是去使用内核线程的一种高级接口—轻量级进程(LWP),轻量级进程就是我们所讲的线程,这种轻量级进程与内核线程之间1:1的对应关系。

 

技术分享图片

优点:

内核直接支持,由操作系统内核创建和撤销。内核维护进程及线程的上下文信息以及线程切换。一个内核线程由于I/O操作而阻塞,不会影响其它线程的运行。

 

缺点:

 1、线程的操作、创建、同步等都需要系统调用,而系统调用代价比较高,需要在用户态和内核态中来回切换。

2、每个轻量级的进程都需要一个内核线程来支持,需要消耗一定的内核资源。

用户线程实现

用户线程指不需要内核支持而在用户程序中实现的线程,其不依赖于操作系统核心,应用进程利用线程库提供创建、同步、调度和管理线程的函数来控制用户线程。

 

不需要用户态/核心态切换,速度快,操作系统内核不知道多线程的存在,因此一个线程阻塞将使得整个进程(包括它的所有线程)阻塞。使用用户线程实现的程序一般都比较复杂,java曾经用过,不过最后还是放弃了。

 

优点:

切换由用户态程序自己控制内核切换,不需要内核干涉,少了进出内核态的消耗。

 

缺点:

多核处理器很难讲线程映射到其他处理器上,单线程阻塞会造成该进程阻塞。

 

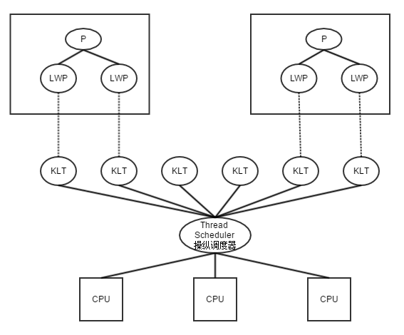
用户线程加轻量级线程混合实现

 

这种混合模式下,既存在用户线程,也存在轻量级进程。用户线程还是完全建立在用户空间中,因此用户线程的创建、切换、析构等依然廉价,可以支持大规模的用户线程并发。

 

 

 

操作系统提供支持的轻量进程作为用户线程和内核线程之间的桥梁,用户线程的系统调用要通过轻量级线程来完成,大大降低了进程阻塞的风险。用户线程和轻量级进程比是N:M多对对的关系。

 

技术分享图片

 

java在jdk 1.2之前基于用户线程实现,在1.2之后,基于操作系统的原生线程模型来实现,在每个平台上都不尽相同,比如在windows和linux下都是采用一对一的线程模型实现,在Solaris平台,采用都是一对一或者多对多来实现(solaris 同时支持一对一和多对多)。

2.线程调度

线程调度主要是指系统为线程分配处理器使用权的过程,主要分为:协同式线程调度和抢占式线程调度。

协同式调度

协同式调度中线程的执行时间由线程本身来控制,线程把自己的工作执行完成以后,主动通知系统切换到另一个线程上。像lua的“协同历程”就是如此实现的。

 

优点:

实现简单,线程把自己的事情干完后进行线程切换,切换操作对线程自己是可知的。无同步问题

 

缺点:

线程执行时间不可控制,如果某个线程出现问题阻塞,会造成程序阻塞。

 

2抢占式线程调度

 

抢占式线程调度中每个线程由系统来分配执行时间,线程的切换不由线程本身来决定。

 

优点:

线程的执行时间系统可控,不会出现单个线程阻塞造成整个进程阻塞。

 

java就是采用抢占式线程调度,另外,java还可以通过给线程设置优先级来建议系统给某些线程多分配一点时间,不过不是很靠谱,线程的调度最终还是取决的操作系统。

 状态转换

java定义了5中线程状态,任意一个时间点,一个线程有且只有其中一个状态。

通过上面我们知道,java的线程是映射到操作系统的内核线程之上的,如果阻塞或者唤醒一个线程,都是需要操作系统来帮忙完成,这就需要从用户态转换到核心态中,因策状态转换这一步会耗费很多的处理器时间,需要谨慎使用,具体如何谨慎使用,是否有优化的余地,我们下篇再讲解。

 

java 多线程—线程怎么来的

标签:并发处理   操作系统。   建立   TE   str   同步问题   data-   撤销   xsl   

原文地址:https://www.cnblogs.com/ptyblog/p/9193749.html

(0)
(0)
   
举报
评论 一句话评论(0
登录后才能评论!
© 2014 mamicode.com 版权所有  联系我们:gaon5@hotmail.com
迷上了代码!