码迷,mamicode.com
首页 > 其他好文 > 详细

概率统计----协方差

时间:2015-09-11 12:09:58      阅读:222      评论:0      收藏:0      [点我收藏+]

标签:

????机器视觉中,常用到协方差相关的知识,特别是基于统计框架下的机器学习算法,几乎无处不在的用到它,因此了解协方差是再基础不过的了。这里推荐一个很不错的基础教程:协方差的意义和计算公式

  1. 均值和方差

    引入协方差之前,先简单回顾下概率统计中的两个重要基础概念:均值和方差。均值,顾名思义就是一堆样本的平均值,方差就是样本和均值的平均偏差。对于给定的n个样本,那么样本集的均值和方差可以分别这样来定义:

名称

公式

解释

均值

技术分享

样本的平均值,即样本的中心点,例如{1 2,3,4}的均值是2.5

标准差

技术分享

样本点到中心点的平均距离,所以这里做了平方再开方。注意这里采用了除以n-1,目的是为了用更少的样本就可以趋近于总体的标准差。

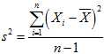
方差

技术分享

样本点到中心点的平均距离的平方,用平方是为了方便计算,因为是一一对应的正相关关系,所以意义和标准差一样,免去了开放带来的复杂计算。

????技术分享

  1. 协方差

    ?

  2. 参考文献
  3. 协方差的意义和计算公式

概率统计----协方差

标签:

原文地址:http://www.cnblogs.com/cv-pr/p/4800372.html

(0)
(0)
   
举报
评论 一句话评论(0
登录后才能评论!
© 2014 mamicode.com 版权所有  联系我们:gaon5@hotmail.com
迷上了代码!