码迷,mamicode.com
首页 > 其他好文 > 详细

支持向量机(二)线性可分支持向量机与硬间隔最大化

时间:2015-11-27 17:01:02      阅读:535      评论:0      收藏:0      [点我收藏+]

标签:

本文原创如需转载请注明出处


阅读目录
一.什么是函数间隔?

二.什么是几何间隔?

三.函数间隔与几何间隔的关系?

四.硬间隔最大化

五.学习的对偶算法

 

一.函数间隔

在图A,B,C三点,A离超平面是最远的,所以A被分类错误的可能性是最小的,相反C离超平面的距离是最近的,所以C被分类错误的可能性是最大的,这很好理解。那么我们就可以用“一个点距离超平面的远近”来表示分类预测的确信程度

技术分享

因此我们只需要寻找一个超平面技术分享离所有边缘点都最远。

a.我们用技术分享的绝对值表示点x与超平面的距离

b.对于样本点x来说,y是它的标签(分类结果+1或者-1)

c.技术分享代表预测出来的分类结果

d.y与技术分享的乘积来代表分类的正确性及刚才提到的确信程度。这就是函数间隔。

说明
a:以二维空间为例,直线方程为AX+BY+C=0改为技术分享+c=0。

用法向量w代替(A,B),用特征向量x代表(x,y),技术分享公式就是这么来的。
b:对于我们学习到的直线技术分享。把负实例点(0,0)代入,我们可以看出,算出的结果+1与它的标签-1不一致,因此线性可分支持向量机学习到的分离超平面技术分享是不准确的,也就是说当y(技术分享)>0,证明预测结果与标签一致,反之不一致。
c:进而函数间隔y(技术分享)=-1,这里的负号表示分类错误,绝对值表示点x到直线的距离,距离就是确信程度。因此说y(技术分享)来代表分类的正确性及确信程度。

1.定义函数间隔:

对于给定的训练数据集T和超平面(w,b)定义超平面(w,b)关于样本点(xi, yi)的函数间隔为:

技术分享

定义超平面(w,b)关于训练数据集T的函数间隔为超平面(w,b)关于T中所有样本点(xi, yi)的函数间隔最小值

技术分享

2.函数间隔的缺点:

|技术分享|表示点x与超平面的距离是不准确的,因为只要成比例的改变w,b。比如改为2w,2b。超平面并没有改变,但是函数间隔却变为原来的2倍。

说明:

比如技术分享把w:(1,2)和b=1同时扩大2倍,此时把(1,1)代入方程技术分享,结果为2。代入原来的方程结果为1。但是,实际上直线的位置并没有发生改变.

因此,可以对分离超平面的法向量w加以约束,如规范化,让||w||=1,这时候函数间隔确定。这使得函数间隔成为几何间隔。

 

二.几何间隔

对于给定的训练数据集T和超平面(w,b),定义超平面(w,b)关于样本点技术分享的几何间隔为

技术分享

定义超平面(w,b)关于训练数据集T的几何间隔为超平面(w,b)关于T中所有样本点技术分享的几何间隔之最小值,即

技术分享

超平面(w,b)关于样本点技术分享的几何间隔一般是实例点到超平面的带符号的距离(signed distance),当样本点被超平面正确分类时就是实例点到超平面的距离。

三.函数间隔与几何间隔的关系

从函数间隔和几何间隔的定义可知,函数间隔和几何间隔有下面的关系:

技术分享

如果||w||=1,那么函数间隔和几何间隔相等。如果超平面参数w和b成比例地改变(超平面没有改变),函数间隔也按此比例改变,而几何间隔不变。

 

四.硬间隔最大化

如何确定线性可分超平面?

从直观上而言,超平面应该是最适合分开两类数据的。而判定“最适合”的标准就是这个超平面两边的数据的间隔最大。所以,寻找有着最大间隔的超平面。

1.间隔边缘:

注意到两个虚线是平行的,而两个虚线间的距离Gap就称为间隔(margin)为2/||w||,两个虚线称为间隔边界。

技术分享

2.最大间隔分离超平面:

目标函数:技术分享  (几何间隔)

约束条件:技术分享

说明:约束条件表示每个样本点到超平面的距离至少是技术分享

考虑几何间隔与函数间隔的关系可以改写上式为

目标函数:技术分享(函数间隔除以||w||)

约束条件:技术分享

函数间隔的取值并不影响最优化问题的解,因为成比例的改变w和b目标函数和约束条件都不受到影响,所以我们可以让函数间隔为1.

 

目标函数就变为1/||w||,由于让1/||w||最大化,等价于让分母||w||最小化,为今后求导方便,把1/||w||的最大化等价为技术分享的极小化。

于是得到线性可分支持向量机学习的优化问题:

技术分享

五.学习的对偶算法

拉格朗日对偶性:在约束优化问题,常常会采用拉格朗日对偶性来将原始问题转化为对偶问题,通过求解对偶问题而得到原始问题的解。这样,可以使计算简便,并且引入核函数,进而推广到非线性分类问题。

为了求解线性可分支持向量机的最优化问题,就是将它作为原始问题利用拉格朗日对偶性,求得最优解。这就是线性可分支持向量机的对偶算法。

 

说明:

 

1.原始问题

技术分享是定义在技术分享上的连续可微函数(因为要对它们求导),考虑约束最优化问题:

目标函数:技术分享

约束条件:技术分享

称为约束最优化问题的原始问题。

如果没有约束条件我们可以通过求导计算出最优解,这时就想办法去掉约束条件,很自然的想到拉格朗日函数(因为朗格朗日函数就是做这个的):

引进广义拉格朗日函数(generalizedLagrange function):

技术分享

(在这里需要提一下如果约束条件是等式的话,就利用标准的朗格朗日函数)。

这里技术分享,其中技术分享是拉格朗日乘子

特别要求技术分享

 

在这里的原始问题:

技术分享

那么如何求解对偶问题呢?

步骤一:

首先构造拉格朗日函数,为此对优化问题的每一个约束条件技术分享引进拉格朗日乘子:技术分享,i=1,2,…N

我们将约束条件改写为:技术分享

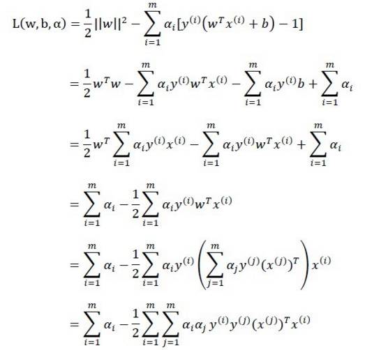
此时代入广义拉格朗日函数得:

技术分享

步骤二:

根据拉格朗日对偶性,原始问题的对偶问题是先对上式w,b求极小值,就是分别对它们求导。

技术分享

再将它们代入圈1中,此时可以推导出更简单的形式,从该形式可以引入核计法。

技术分享

说明:其中第一步是原始问题,第二步是累加和展开,第三步代入公式圈2和圈3,第四步合并系数,第五步代入公式圈1,第六步展开。

步骤三:

对参数alpha做最大化操作,将对偶问题中存在的特别要求技术分享

的约束条件和圈3中的约束条件最为最大化的约束条件,我们得到经过对偶化后的简化问题如下,

技术分享

其中目标函数中的尖括号是做内积。

步骤四:

将上式的目标函数(圈4)由求极大值转换成求极小值,就得到与之等价的对偶最优化问题。

技术分享

步骤五:

通过对偶问题解出来的,求得原始问题的w,b

定理:设技术分享对偶最优化问题的解,则存在下标j,使得技术分享
,并可按下式求解原始最优化问题的解技术分享

技术分享

现在总结一下求解过程:

技术分享

 

支持向量机(二)线性可分支持向量机与硬间隔最大化

标签:

原文地址:http://www.cnblogs.com/ldphoebe/p/5000769.html

(0)
(0)
   
举报
评论 一句话评论(0
登录后才能评论!
© 2014 mamicode.com 版权所有  联系我们:gaon5@hotmail.com
迷上了代码!