码迷,mamicode.com
首页 > 其他好文 > 详细

对线性回归,logistic回归和一般回归的认识

时间:2016-12-23 22:57:48      阅读:237      评论:0      收藏:0      [点我收藏+]

标签:function   常用   直线   jcs   ext   情况   icc   span   迭代   

   

 技术分享

假设有一个房屋销售的数据如下:这个表类似于北京5环左右的房屋价钱,我们可以做出一个图,x轴是房屋的面积。y轴是房屋的售价,如下:技术分享

如果来了一个新的面积,假设在销售价钱的记录中没有的,我们怎么办呢?

我们可以用一条曲线去尽量准的拟合这些数据,然后如果有新的输入过来,我们可以在将曲线上这个点对应的值返回。如果用一条直线去拟合,可能是下面

的样子:绿色的点就是我们想要预测的点。

 

技术分享

首先给出一些概念和常用的符号。

房屋销售记录表:训练集(training set)或者训练数据(training data), 是我们流程中的输入数据,一般称为x

房屋销售价钱:输出数据,一般称为y

拟合的函数(或者称为假设或者模型):一般写做 y = h(x)

训练数据的条目数(#training set),:一条训练数据是由一对输入数据和输出数据组成的输入数据的维度n (特征的个数,#features)

 

这个例子的特征是两维的,结果是一维的。然而回归方法能够解决特征多维,结果是一维多离散值或一维连续值的问题。

3 学习过程

下面是一个典型的机器学习的过程,首先给出一个输入数据,我们的算法会通过一系列的过程得到一个估计的函数,这个函数有能力对没有见过的新数据给出一个新的估计,也被称为构建一个模型。就如同上面的线性回归函数。技术分享

 

4 线性回归

线性回归假设特征和结果满足线性关系。其实线性关系的表达能力非常强大,每个特征对结果的影响强弱可以由前面的参数体现,而且每个特征变量可以首先映射到一个函数,然后再参与线性计算。这样就可以表达特征与结果之间的非线性关系。

我们用X1,X2..Xn 去描述feature里面的分量,比如x1=房间的面积,x2=房间的朝向,等等,我们可以做出一个估计函数:

     技术分享

θ在这儿称为参数,在这的意思是调整feature中每个分量的影响力,就是到底是房屋的面积更重要还是房屋的地段更重要。为了如果我们令X0 = 1,就可以用向量的方式来表示了:

     技术分享

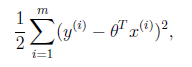
我们程序也需要一个机制去评估我们θ是否比较好,所以说需要对我们做出的h函数进行评估,一般这个函数称为损失函数(loss function)或者错误函数(error function),描述h函数不好的程度,在下面,我们称这个函数为J函数

在这儿我们可以认为错误函数如下:

     技术分享

这个错误估计函数是去对x(i)的估计值与真实值y(i)差的平方和作为错误估计函数,前面乘上的1/2是为了在求导的时候,这个系数就不见了。

至于为何选择平方和作为错误估计函数,讲义后面从概率分布的角度讲解了该公式的来源。

如何调整θ以使得J(θ)取得最小值有很多方法,其中有最小二乘法(min square),是一种完全是数学描述的方法,和梯度下降法。 

5 梯度下降法

在选定线性回归模型后,只需要确定参数θ,就可以将模型用来预测。然而θ需要在J(θ)最小的情况下才能确定。因此问题归结为求极小值问题,使用梯度下降法。梯度下降法最大的问题是求得有可能是全局极小值,这与初始点的选取有关。

梯度下降法是按下面的流程进行的:

     1)首先对θ赋值,这个值可以是随机的,也可以让θ是一个全零的向量。

     2)改变θ的值,使得J(θ)按梯度下降的方向进行减少。

梯度方向由J(θ)对θ的偏导数确定,由于求的是极小值,因此梯度方向是偏导数的反方向。结果为

     技术分享     

迭代更新的方式有两种,一种是批梯度下降,也就是对全部的训练数据求得误差后再对θ进行更新,另外一种是增量梯度下降,每扫描一步都要对θ进行更新。前一种方法能够不断收敛,后一种方法结果可能不断在收敛处徘徊。

一般来说,梯度下降法收敛速度还是比较慢的。

另一种直接计算结果的方法是最小二乘法。

 

6 最小二乘法

将训练特征表示为X矩阵,结果表示成y向量,仍然是线性回归模型,误差函数不变。那么θ可以直接由下面公式得出

技术分享

但此方法要求X是列满秩的,而且求矩阵的逆比较慢。

7 选用误差函数为平方和的概率解释

假设根据特征的预测结果与实际结果有误差技术分享,那么预测结果技术分享和真实结果技术分享满足下式:

技术分享

一般来讲,误差满足平均值为0的高斯分布,也就是正态分布。那么x和y的条件概率也就是

技术分享

这样就估计了一条样本的结果概率,然而我们期待的是模型能够在全部样本上预测最准,也就是概率积最大。注意这里的概率积是概率密度函数积,连续函数的概率密度函数与离散值的概率函数不同。这个概率积成为最大似然估计。我们希望在最大似然估计得到最大值时确定θ。那么需要对最大似然估计公式求导,求导结果既是

     技术分享     

这就解释了为何误差函数要使用平方和。

当然推导过程中也做了一些假定,但这个假定符合客观规律。

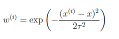
8 带权重的线性回归 

上面提到的线性回归的误差函数里系统都是1,没有权重。带权重的线性回归加入了权重信息。

     基本假设是

技术分享

其中假设技术分享符合公式

     技术分享          

其中x是要预测的特征,这样假设的道理是离x越近的样本权重越大,越远的影响越小。这个公式与高斯分布类似,但不一样,因为技术分享不是随机变量。

此方法成为非参数学习算法,因为误差函数随着预测值的不同而不同,这样θ无法事先确定,预测一次需要临时计算,感觉类似KNN。

 

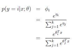
9 分类和logistic回归

一般来说,回归不用在分类问题上,因为回归是连续型模型,而且受噪声影响比较大。如果非要应用进入,可以使用logistic回归。

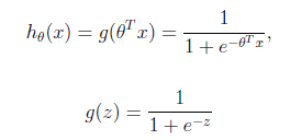
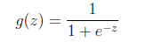
logistic回归本质上是线性回归,只是在特征到结果的映射中加入了一层函数映射,即先把特征线性求和,然后使用函数g(z)将最为假设函数来预测。g(z)可以将连续值映射到0和1上。

logistic回归的假设函数如下,线性回归假设函数只是技术分享

技术分享

logistic回归用来分类0/1问题,也就是预测结果属于0或者1的二值分类问题。这里假设了二值满足伯努利分布,也就是

技术分享

当然假设它满足泊松分布、指数分布等等也可以,只是比较复杂,后面会提到线性回归的一般形式。

与第7节一样,仍然求的是最大似然估计,然后求导,得到迭代公式结果为

     技术分享

可以看到与线性回归类似,只是技术分享换成了技术分享,而技术分享实际上就是技术分享经过g(z)映射过来的。

 

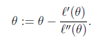
10 牛顿法来解最大似然估计

 

第7和第9节使用的解最大似然估计的方法都是求导迭代的方法,这里介绍了牛顿下降法,使结果能够快速的收敛。

当要求解技术分享时,如果f可导,那么可以通过迭代公式

技术分享

来迭代求解最小值。

当应用于求解最大似然估计的最大值时,变成求解最大似然估计概率导数技术分享的问题。

那么迭代公式写作

     技术分享

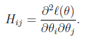
当θ是向量时,牛顿法可以使用下面式子表示

     技术分享 

其中技术分享是n×n的Hessian矩阵。

 

牛顿法收敛速度虽然很快,但求Hessian矩阵的逆的时候比较耗费时间。

当初始点X0靠近极小值X时,牛顿法的收敛速度是最快的。但是当X0远离极小值时,牛顿法可能不收敛,甚至连下降都保证不了。原因是迭代点Xk+1不一定是目标函数f在牛顿方向上的极小点。

 

11 一般线性模型

之所以在logistic回归时使用 技术分享的公式是由一套理论作支持的。

 

这个理论便是一般线性模型。

首先,如果一个概率分布可以表示成

     技术分享

时,那么这个概率分布可以称作是指数分布。

伯努利分布,高斯分布,泊松分布,贝塔分布,狄特里特分布都属于指数分布。

在logistic回归时采用的是伯努利分布,伯努利分布的概率可以表示成

     技术分享

其中

     技术分享

得到技术分享     

这就解释了logistic回归时为了要用这个函数。

一般线性模型的要点是

     1) 技术分享 满足一个以技术分享为参数的指数分布,那么可以求得技术分享的表达式。

     2) 给定x,我们的目标是要确定技术分享,大多数情况下技术分享,那么我们实际上要确定的是技术分享,而技术分享。(在logistic回归中期望值是技术分享,因此h是技术分享;在线性回归中期望值是技术分享,而高斯分布中技术分享,因此线性回归中h=技术分享)。

     3) 技术分享

 

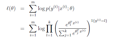
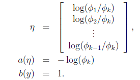
12 Softmax回归

最后举了一个利用一般线性模型的例子。

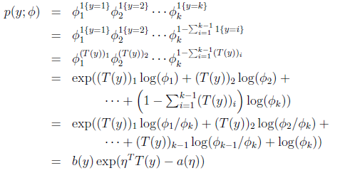
假设预测值y有k种可能,即y∈{1,2,…,k}

比如k=3时,可以看作是要将一封未知邮件分为垃圾邮件、个人邮件还是工作邮件这三类。

     定义

     技术分享

     那么

     技术分享

     这样

     技术分享

     即式子左边可以有其他的概率表示,因此可以当作是k-1维的问题。

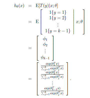
为了表示多项式分布表述成指数分布,我们引入T(y),它是一组k-1维的向量,这里的T(y)不是y,T(yi)表示T(y)的第i个分量。

     技术分享 

应用于一般线性模型,结果y必然是k中的一种。1{y=k}表示当y=k的时候,1{y=k}=1。那么p(y)可以表示为

     技术分享

其实很好理解,就是当y是一个值m(m从1到k)的时候,p(y)=技术分享,然后形式化了一下。

那么

     技术分享

最后求得

     技术分享

而y=i时

     技术分享

求得期望值

技术分享

那么就建立了假设函数,最后就获得了最大似然估计

技术分享

对该公式可以使用梯度下降或者牛顿法迭代求解。

解决了多值模型建立与预测问题。

 

学习总结

该讲义组织结构清晰,思路独特,讲原因,也讲推导。可贵的是讲出了问题的基本解决思路和扩展思路,更重要的是讲出了为什么要使用相关方法以及问题根源。在看似具体的解题思路中能引出更为抽象的一般解题思路,理论化水平很高。

该方法可以用在对数据多维分析和多值预测上,更适用于数据背后蕴含某种概率模型的情景。

几个问题

     1:采用迭代法的时候,步长怎么确定比较好

     2:最小二乘法的矩阵形式是否一般都可用

 

对线性回归,logistic回归和一般回归的认识

标签:function   常用   直线   jcs   ext   情况   icc   span   迭代   

原文地址:http://www.cnblogs.com/ranjiewen/p/6216158.html

(0)
(0)
   
举报
评论 一句话评论(0
登录后才能评论!
© 2014 mamicode.com 版权所有  联系我们:gaon5@hotmail.com
迷上了代码!